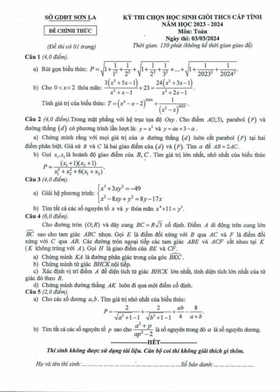
Lời giới thiệu:
Vào ngày 3 tháng 3 năm 2024, sở GD&ĐT tỉnh Sơn La đã tổ chức kỳ thì học sinh giỏi cho cấp học THCS. Môn toán năm nay được tổ chức với đề ra gồm 5 câu hỏi, trải dài kiến thức trong cấp học với các chuyên đề về đại số, số học và hình học. trong đó câu số 5 có tính chất phân loại học sinh được đánh giá là khó nhất.
Trích dẫn:
Cho các số dương a,b. Tìm giá trị nhỏ nhất của của biểu thức :

