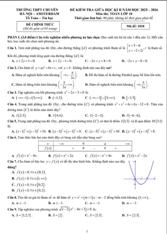
Đề giữa học kì 2 kèm đáp án Toán 10 năm 2025 – 2026 trường THPT chuyên Hà Nội – Amsterdam


Lời giới thiệu:

Đề giữa học kì 2 kèm đáp án Toán 10 trường THPT chuyên Hà Nội – Amsterdam | năm học 2025 – 2026 

Trích dẫn:

Trong mặt phẳng Oxy, cho đường tròn (C) có phương trình là x² + y² - 2x + 4y + 1 = 0 và đường thẳng Δ có phương trình là x + y - 1 = 0

a) Tâm của đường tròn (C) và điểm I(1; -2).

b) Điểm A(1;2) nằm bên ngoài đường tròn (C).

c) Khoảng cách từ tâm I của đường tròn (C) đến đường thẳng Δ bằng √2.

d) Đường tròn (C) cắt đường thẳng Δ tại 2 điểm M, N với MN = √2.



Đã đăng ký Bộ Tài Chính