Lời giới thiệu:
Đề thi môn toán cuối kỳ 1 lớp 9 tại trường Phòng GDDT Bắc Từ Liêm– Hà Nội | năm học 2023-2024
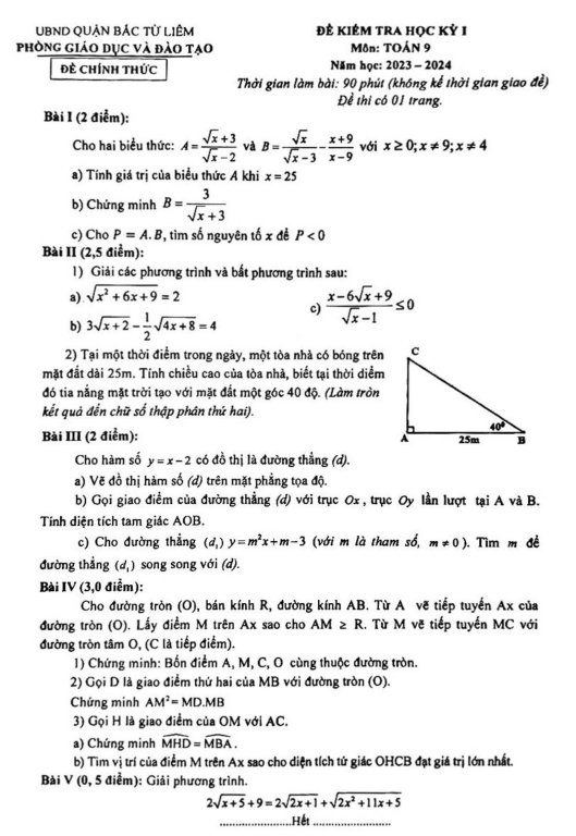
Trích dẫn:
Cho hàm số y = x - 2 có đồ thị là đường thẳng (d).
a. Vẽ đồ thị hàm số (d) trên mặt phẳng tọa độ.
b. Gọi giao điểm của đường thẳng (d) với trục Ox, trục Oy lần lượt tại A và B. Tính diện tích tam giác AOB.
c. Cho đường thẳng (d1) y = m²x + m - 3 ( với m là tham số, m ≠ 0). Tìm m để đường thẳng (d1) song song với (d).
